- 10.3 原型聚类
- 10.3.1 K-Means
- 10.3.2 学习向量量化(LVQ)
- 10.3.3 高斯混合聚类
10.3 原型聚类
原型聚类即“基于原型的聚类”(prototype-based clustering),原型表示模板的意思,就是通过参考一个模板向量或模板分布的方式来完成聚类的过程,常见的K-Means便是基于簇中心来实现聚类,混合高斯聚类则是基于簇分布来实现聚类。
10.3.1 K-Means
K-Means的思想十分简单,首先随机指定类中心,根据样本与类中心的远近划分类簇,接着重新计算类中心,迭代直至收敛。但是其中迭代的过程并不是主观地想象得出,事实上,若将样本的类别看做为“隐变量”(latent variable),类中心看作样本的分布参数,这一过程正是通过EM算法的两步走策略而计算出,其根本的目的是为了最小化平方误差函数E:

K-Means的算法流程如下所示:

10.3.2 学习向量量化(LVQ)
LVQ也是基于原型的聚类算法,与K-Means不同的是,LVQ使用样本真实类标记辅助聚类,首先LVQ根据样本的类标记,从各类中分别随机选出一个样本作为该类簇的原型,从而组成了一个原型特征向量组,接着从样本集中随机挑选一个样本,计算其与原型向量组中每个向量的距离,并选取距离最小的原型向量所在的类簇作为它的划分结果,再与真实类标比较。
若划分结果正确,则对应原型向量向这个样本靠近一些若划分结果不正确,则对应原型向量向这个样本远离一些
LVQ算法的流程如下所示:

10.3.3 高斯混合聚类
现在可以看出K-Means与LVQ都试图以类中心作为原型指导聚类,高斯混合聚类则采用高斯分布来描述原型。现假设每个类簇中的样本都服从一个多维高斯分布,那么空间中的样本可以看作由k个多维高斯分布混合而成。
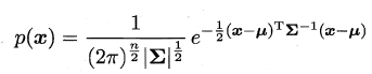
对于多维高斯分布,其概率密度函数如下所示:

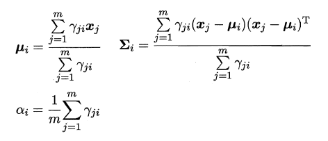
其中u表示均值向量,∑表示协方差矩阵,可以看出一个多维高斯分布完全由这两个参数所确定。接着定义高斯混合分布为:

α称为混合系数,这样空间中样本的采集过程则可以抽象为:(1)先选择一个类簇(高斯分布),(2)再根据对应高斯分布的密度函数进行采样,这时候贝叶斯公式又能大展身手了:

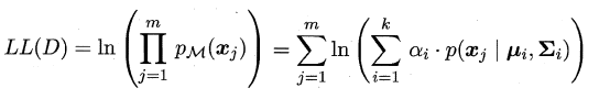
此时只需要选择PM最大时的类簇并将该样本划分到其中,看到这里很容易发现:这和那个传说中的贝叶斯分类不是神似吗,都是通过贝叶斯公式展开,然后计算类先验概率和类条件概率。但遗憾的是:这里没有真实类标信息,对于类条件概率,并不能像贝叶斯分类那样通过最大似然法美好地计算出来,因为这里的样本可能属于所有的类簇,这里的似然函数变为:

可以看出:简单的最大似然法根本无法求出所有的参数,这样PM也就没法计算。这里就要召唤出之前的EM大法,首先对高斯分布的参数及混合系数进行随机初始化,计算出各个PM(即γji,第i个样本属于j类),再最大化似然函数(即LL(D)分别对α、u和∑求偏导 ),对参数进行迭代更新。

高斯混合聚类的算法流程如下图所示:

