• 3、线性模型

    笔记的前一部分主要是对机器学习预备知识的概括,包括机器学习的定义/术语、学习器性能的评估/度量以及比较,本篇之后将主要对具体的学习算法进行理解总结,本篇则主要是第3章的内容—线性模型。

    3、线性模型

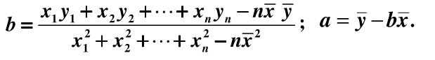
    谈及线性模型,其实我们很早就已经与它打过交道,还记得高中数学必修3课本中那个顽皮的“最小二乘法”吗?这就是线性模型的经典算法之一:根据给定的(x,y)点对,求出一条与这些点拟合效果最好的直线y=ax+b,之前我们利用下面的公式便可以计算出拟合直线的系数a,b(3.1中给出了具体的计算过程),从而对于一个新的x,可以预测它所对应的y值。前面我们提到:在机器学习的术语中,当预测值为连续值时,称为“回归问题”,离散值时为“分类问题”。本篇先从线性回归任务开始,接着讨论分类和多分类问题。

    1.png

    • 3.1 线性回归
    • 3.2 线性几率回归
    • 3.3 线性判别分析
    • 3.4 多分类学习
    • 3.5 类别不平衡问题