- 11.2. 数学基础
- 11.2.1. 线性代数
- 11.2.1.1. 向量
- 11.2.1.2. 矩阵
- 11.2.1.3. 运算
- 11.2.1.4. 范数
- 11.2.1.5. 特征向量和特征值
- 11.2.2. 微分
- 11.2.2.1. 导数和微分
- 11.2.2.2. 泰勒展开
- 11.2.2.3. 偏导数
- 11.2.2.4. 梯度
- 11.2.2.5. 海森矩阵
- 11.2.3. 概率
- 11.2.3.1. 条件概率
- 11.2.3.2. 期望
- 11.2.3.3. 均匀分布
- 11.2.4. 小结
- 11.2.5. 练习
- 11.2.1. 线性代数
11.2. 数学基础
本节总结了本书中涉及的有关线性代数、微分和概率的基础知识。为避免赘述本书未涉及的数学背景知识,本节中的少数定义稍有简化。
11.2.1. 线性代数
下面分别概括了向量、矩阵、运算、范数、特征向量和特征值的概念。
11.2.1.1. 向量
本书中的向量指的是列向量。一个
维向量
的表达式可写成

其中
是向量的元素。我们将各元素均为实数的
维向量
记作
或
。
11.2.1.2. 矩阵
一个
行
列矩阵的表达式可写成

其中
是矩阵
中第
行第
列的元素(
)。我们将各元素均为实数的
行
列矩阵
记作
。不难发现,向量是特殊的矩阵。
11.2.1.3. 运算
设
维向量
中的元素为
,
维向量
中的元素为
。向量
与
的点乘(内积)是一个标量:

设两个
行
列矩阵

矩阵
的转置是一个
行
列矩阵,它的每一行其实是原矩阵的每一列:

两个相同形状的矩阵的加法是将两个矩阵按元素做加法:

我们使用符号
表示两个矩阵按元素做乘法的运算:

定义一个标量
。标量与矩阵的乘法也是按元素做乘法的运算:

其他诸如标量与矩阵按元素相加、相除等运算与上式中的相乘运算类似。矩阵按元素开根号、取对数等运算也就是对矩阵每个元素开根号、取对数等,并得到和原矩阵形状相同的矩阵。
矩阵乘法和按元素的乘法不同。设
为
行
列的矩阵,
为
行
列的矩阵。两个矩阵相乘的结果

是一个
行
列的矩阵,其中第
行第
列(
)的元素为

11.2.1.4. 范数
设
维向量
中的元素为
。向量
的
范数为

例如,
的
范数是该向量元素绝对值之和:

而
的
范数是该向量元素平方和的平方根:

我们通常用
指代
。
设
是一个
行
列矩阵。矩阵
的Frobenius范数为该矩阵元素平方和的平方根:

其中
为矩阵
在第
行第
列的元素。
11.2.1.5. 特征向量和特征值
对于一个
行
列的矩阵
,假设有标量
和非零的
维向量
使

那么
是矩阵
的一个特征向量,标量
是
对应的特征值。
11.2.2. 微分
我们在这里简要介绍微分的一些基本概念和演算。
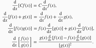
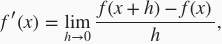
11.2.2.1. 导数和微分
假设函数
的输入和输出都是标量。函数
的导数

且假定该极限存在。给定
,其中
和
分别是函数
的自变量和因变量。以下有关导数和微分的表达式等价:

其中符号
和
也叫微分运算符。常见的微分演算有
(
为常数)、
(
为常数)、
、
等。
如果函数
和
都可导,设
为常数,那么

如果
和
都是可导函数,依据链式法则,

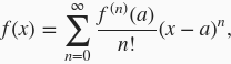
11.2.2.2. 泰勒展开
函数
的泰勒展开式是

其中
为函数
的
阶导数(求
次导数),
为
的阶乘。假设
是一个足够小的数,如果将上式中
和
分别替换成
和
,可以得到

由于
足够小,上式也可以简化成

11.2.2.3. 偏导数
设
为一个有
个自变量的函数,
,它有关第
个变量
的偏导数为

以下有关偏导数的表达式等价:

为了计算
,只需将
视为常数并求
有关
的导数。
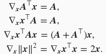
11.2.2.4. 梯度
假设函数
的输入是一个
维向量
,输出是标量。函数
有关
的梯度是一个由
个偏导数组成的向量:

为表示简洁,我们有时用
代替
。
假设
是一个向量,常见的梯度演算包括

类似地,假设
是一个矩阵,那么

11.2.2.5. 海森矩阵
假设函数
的输入是一个
维向量
,输出是标量。假定函数
所有的二阶偏导数都存在,
的海森矩阵
是一个
行
列的矩阵:

其中二阶偏导数

11.2.3. 概率
最后,我们简要介绍条件概率、期望和均匀分布。
11.2.3.1. 条件概率
假设事件
和事件
的概率分别为
和
,两个事件同时发生的概率记作
或
。给定事件
,事件
的条件概率

也就是说,

当满足

时,事件
和事件
相互独立。
11.2.3.2. 期望
离散的随机变量
的期望(或平均值)为

11.2.3.3. 均匀分布
假设随机变量
服从
上的均匀分布,即
。随机变量
取
和
之间任意一个数的概率相等。
11.2.4. 小结
- 本节总结了本书中涉及的有关线性代数、微分和概率的基础知识。
11.2.5. 练习
- 求函数
的梯度。
