- 最长公共子序列
- 问题描述
- 分析与解法
- 解法一
- 解法二
- 最长公共子序列的结构
- 子问题的递归结构
- 计算最优值
- 构造最长公共子序列
- 算法的改进
- 编码实现LCS问题
- 举一反三
最长公共子序列
问题描述
什么是最长公共子序列呢?好比一个数列 S,如果分别是两个或多个已知数列的子序列,且是所有符合此条件序列中最长的,则S 称为已知序列的最长公共子序列。
举个例子,如:有两条随机序列,如 1 3 4 5 5 ,and 2 4 5 5 7 6,则它们的最长公共子序列便是:4 5 5。
分析与解法
解法一
最容易想到的算法是穷举搜索法,即对X的每一个子序列,检查它是否也是Y的子序列,从而确定它是否为X和Y的公共子序列,并且在检查过程中选出最长的公共子序列。X和Y的所有子序列都检查过后即可求出X和Y的最长公共子序列。X的一个子序列相应于下标序列{1, 2, …, m}的一个子序列,因此,X共有2m个不同子序列(Y亦如此,如为2^n),从而穷举搜索法需要指数时间(2^m * 2^n)。
解法二
事实上,最长公共子序列问题也有最优子结构性质。
记:
Xi=﹤x1,⋯,xi﹥即X序列的前i个字符 (1≤i≤m)(前缀)
Yj=﹤y1,⋯,yj﹥即Y序列的前j个字符 (1≤j≤n)(前缀)
假定Z=﹤z1,⋯,zk﹥∈LCS(X , Y) 。
若xm=yn(最后一个字符相同),则不难用反证法证明:该字符必是X与Y的任一最长公共子序列Z(设长度为k)的最后一个字符,即有zk = xm = yn 且显然有Zk-1∈LCS(Xm-1 , Yn-1)即Z的前缀Zk-1是Xm-1与Yn-1的最长公共子序列。此时,问题化归成求Xm-1与Yn-1的LCS(LCS(X , Y)的长度等于LCS(Xm-1 , Yn-1)的长度加1)。
若xm≠yn,则亦不难用反证法证明:要么Z∈LCS(Xm-1, Y),要么Z∈LCS(X , Yn-1)。由于zk≠xm与zk≠yn其中至少有一个必成立,若zk≠xm则有Z∈LCS(Xm-1 , Y),类似的,若zk≠yn 则有Z∈LCS(X , Yn-1)。此时,问题化归成求Xm-1与Y的LCS及X与Yn-1的LCS。LCS(X , Y)的长度为:max{LCS(Xm-1 , Y)的长度, LCS(X , Yn-1)的长度}。
由于上述当xm≠yn的情况中,求LCS(Xm-1 , Y)的长度与LCS(X , Yn-1)的长度,这两个问题不是相互独立的:两者都需要求LCS(Xm-1,Yn-1)的长度。另外两个序列的LCS中包含了两个序列的前缀的LCS,故问题具有最优子结构性质考虑用动态规划法。
也就是说,解决这个LCS问题,你要求三个方面的东西:1、LCS(Xm-1,Yn-1)+1;2、LCS(Xm-1,Y),LCS(X,Yn-1);3、max{LCS(Xm-1, Y),LCS(X, Yn-1)}。
最长公共子序列的结构
最长公共子序列的结构有如下表示:
设序列X=< x1, x2, …, xm >和Y=< y1, y2, …, yn >的一个最长公共子序列Z=< z1, z2, …, zk >,则:
- 若xm=yn,则zk=xm=yn且Zk-1是Xm-1和Yn-1的最长公共子序列;
- 若xm≠yn且zk≠xm ,则Z是Xm-1和Y的最长公共子序列;
- 若xm≠yn且zk≠yn ,则Z是X和Yn-1的最长公共子序列。
其中Xm-1 = < x1, x2, …, xm-1 >,Yn-1 = < y1, y2, …, yn-1 >,Zk-1 = < z1, z2, …, zk-1 >。
子问题的递归结构
由最长公共子序列问题的最优子结构性质可知,要找出X=< x1, x2, …, xm >和Y=< y1, y2, …, yn >的最长公共子序列,可按以下方式递归地进行:当xm=yn时,找出Xm-1和Yn-1的最长公共子序列,然后在其尾部加上xm(=yn)即可得X和Y的一个最长公共子序列。当xm≠yn时,必须解两个子问题,即找出Xm-1和Y的一个最长公共子序列及X和Yn-1的一个最长公共子序列。这两个公共子序列中较长者即为X和Y的一个最长公共子序列。
由此递归结构容易看到最长公共子序列问题具有子问题重叠性质。例如,在计算X和Y的最长公共子序列时,可能要计算出X和Yn-1及Xm-1和Y的最长公共子序列。而这两个子问题都包含一个公共子问题,即计算Xm-1和Yn-1的最长公共子序列。
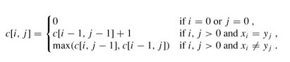
与矩阵连乘积最优计算次序问题类似,我们来建立子问题的最优值的递归关系。用c[i,j]记录序列Xi和Yj的最长公共子序列的长度。其中Xi=< x1, x2, …, xi >,Yj=< y1, y2, …, yj >。当i=0或j=0时,空序列是Xi和Yj的最长公共子序列,故c[i,j]=0。其他情况下,由定理可建立递归关系如下:

计算最优值
直接利用上节节末的递归式,我们将很容易就能写出一个计算c[i,j]的递归算法,但其计算时间是随输入长度指数增长的。由于在所考虑的子问题空间中,总共只有θ(m*n)个不同的子问题,因此,用动态规划算法自底向上地计算最优值能提高算法的效率。
计算最长公共子序列长度的动态规划算法LCS_LENGTH(X,Y)以序列X=< x1, x2, …, xm >和Y=< y1, y2, …, yn >作为输入。输出两个数组c[0..m ,0..n]和b[1..m ,1..n]。其中c[i,j]存储Xi与Yj的最长公共子序列的长度,b[i,j]记录指示c[i,j]的值是由哪一个子问题的解达到的,这在构造最长公共子序列时要用到。最后,X和Y的最长公共子序列的长度记录于c[m,n]中。
Procedure LCS_LENGTH(X,Y);beginm:=length[X];n:=length[Y];for i:=1 to m do c[i,0]:=0;for j:=1 to n do c[0,j]:=0;for i:=1 to m dofor j:=1 to n doif x[i]=y[j] thenbeginc[i,j]:=c[i-1,j-1]+1;b[i,j]:="↖";endelse if c[i-1,j]≥c[i,j-1] thenbeginc[i,j]:=c[i-1,j];b[i,j]:="↑";endelsebeginc[i,j]:=c[i,j-1];b[i,j]:="←"end;return(c,b);end;
由算法LCS_LENGTH计算得到的数组b可用于快速构造序列X=< x1, x2, …, xm >和Y=< y1, y2, …, yn >的最长公共子序列。首先从b[m,n]开始,沿着其中的箭头所指的方向在数组b中搜索。
当b[i,j]中遇到”↖”时(意味着xi=yi是LCS的一个元素),表示Xi与Yj的最长公共子序列是由Xi-1与Yj-1的最长公共子序列在尾部加上xi得到的子序列;
当b[i,j]中遇到”↑”时,表示Xi与Yj的最长公共子序列和Xi-1与Yj的最长公共子序列相同;
当b[i,j]中遇到”←”时,表示Xi与Yj的最长公共子序列和Xi与Yj-1的最长公共子序列相同。
这种方法是按照反序来找LCS的每一个元素的。由于每个数组单元的计算耗费Ο(1)时间,算法LCS_LENGTH耗时Ο(mn)。
构造最长公共子序列
下面的算法LCS(b,X,i,j)实现根据b的内容打印出Xi与Yj的最长公共子序列。通过算法的调用LCS(b,X,length[X],length[Y]),便可打印出序列X和Y的最长公共子序列。
Procedure LCS(b,X,i,j);beginif i=0 or j=0 then return;if b[i,j]="↖" thenbeginLCS(b,X,i-1,j-1);print(x[i]); {打印x[i]}endelse if b[i,j]="↑" then LCS(b,X,i-1,j)else LCS(b,X,i,j-1);end;
在算法LCS中,每一次的递归调用使i或j减1,因此算法的计算时间为O(m+n)。
例如,设所给的两个序列为X=< A,B,C,B,D,A,B >和Y=< B,D,C,A,B,A >。由算法LCS_LENGTH和LCS计算出的结果如下图所示:

- 我来说明下此图(参考算法导论)*。在序列X={A,B,C,B,D,A,B}和 Y={B,D,C,A,B,A}上,由LCS_LENGTH计算出的表c和b。第i行和第j列中的方块包含了c[i,j]的值以及指向b[i,j]的箭头。在c[7,6]的项4,表的右下角为X和Y的一个LCS < B,C,B,A >的长度。对于i,j>0,项c[i,j]仅依赖于是否有xi=yi,及项c[i-1,j]和c[i,j-1]的值,这几个项都在c[i,j]之前计算。为了重构一个LCS的元素,从右下角开始跟踪b[i,j]的箭头即可,这条路径标示为阴影,这条路径上的每一个“↖”对应于一个使xi=yi为一个LCS的成员的项(高亮标示)。
所以根据上述图所示的结果,程序将最终输出:“B C B A”。
算法的改进
对于一个具体问题,按照一般的算法设计策略设计出的算法,往往在算法的时间和空间需求上还可以改进。这种改进,通常是利用具体问题的一些特殊性。
例如,在算法LCS_LENGTH和LCS中,可进一步将数组b省去。事实上,数组元素c[i,j]的值仅由c[i-1,j-1],c[i-1,j]和c[i,j-1]三个值之一确定,而数组元素b[i,j]也只是用来指示c[i,j]究竟由哪个值确定。因此,在算法LCS中,我们可以不借助于数组b而借助于数组c本身临时判断c[i,j]的值是由c[i-1,j-1],c[i-1,j]和c[i,j-1]中哪一个数值元素所确定,代价是Ο(1)时间。既然b对于算法LCS不是必要的,那么算法LCS_LENGTH便不必保存它。这一来,可节省θ(mn)的空间,而LCS_LENGTH和LCS所需要的时间分别仍然是Ο(mn)和Ο(m+n)。不过,由于数组c仍需要Ο(mn)的空间,因此这里所作的改进,只是在空间复杂性的常数因子上的改进。
另外,如果只需要计算最长公共子序列的长度,则算法的空间需求还可大大减少。事实上,在计算c[i,j]时,只用到数组c的第i行和第i-1行。因此,只要用2行的数组空间就可以计算出最长公共子序列的长度。更进一步的分析还可将空间需求减至min(m, n)。
编码实现LCS问题
动态规划的一个计算最长公共子序列的方法如下,以两个序列 X、Y 为例子:
设有二维数组 f[i][j] 表示 X 的 i 位和 Y 的 j 位之前的最长公共子序列的长度,则有:
f[1][1] = same(1,1)
f[i][j] = max{f[i − 1][j − 1] +same(i,j), f[i − 1][j] ,f[i][j − 1]}
其中,same(a,b)当 X 的第 a 位与 Y 的第 b 位完全相同时为“1”,否则为“0”。
此时,f[i][j]中最大的数便是 X 和 Y 的最长公共子序列的长度,依据该数组回溯,便可找出最长公共子序列。
该算法的空间、时间复杂度均为O(n2),经过优化后,空间复杂度可为O(n),时间复杂度为O(nlogn)。
举一反三
1、最长递增子序列LIS(Longest Increasing Subsequence)
给定一个长度为N的数组,找出一个最长的单调自增子序列(不一定连续,但是顺序不能乱)。例如:给定一个长度为6的数组A{5, 6, 7, 1, 2, 8},则其最长的单调递增子序列为{5,6,7,8},长度为4。
分析:其实此LIS问题可以转换成最长公子序列问题,为什么呢?
- 原数组为A {5, 6, 7, 1, 2, 8}
- 排序后:A‘{1, 2, 5, 6, 7, 8}
因为,原数组A的子序列顺序保持不变,而且排序后A‘本身就是递增的,这样,就保证了两序列的最长公共子序列的递增特性。如此,若想求数组A的最长递增子序列,其实就是求数组A与它的排序数组A‘的最长公共子序列。
此外,本题也可以使用动态规划来求解,读者可以继续思考。
